宁夏

详情

2026年教师招聘:职测考点汇总(七十六)
招教网 2025-10-21 16:49:30

关键词: 全国招教

2026年教师招聘:职测考点汇总(七十六)

数量关系

八、行程问题

(三)等距离平均速度类:题干出现“上下坡”、“往返”、“前一半、后一半”,所用公式为:

【典型例题】

【例 3】小明每天从家中出发骑自行车经过一段平路,再经过一道斜坡后到达学校上课。某天早上,小明从家中骑车出发,一到校门口就发现忘带课本,马上返回。从离家到赶回家中共用了 1 个小时,假设小明当天平路骑行速度为 9 千米/小时,上坡速度为 6 千米/小时,下坡速度为 18 千米/小时,那么小明的家距离学校多远?

A.3.5 千米 B.4.5 千米

C.5.5 千米 D.6.5 千米

【解析】

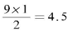
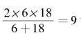
通读题干,出现了“上坡、下坡”,判定为等距离平均速度类的行程问题。第一步,确定上下坡的速度分别为 6 千米/小时,18 千米/小时;第二步,代入公式计算可得:上下坡的平均速度为: 千米/小时;第三步,可以发现,上下坡的平均速度和平路的速度一样,因此整个过程相当于以 9 千米/小时的速度走了两个家到学校的距离,因此所求距离= 千米,因此本题正确选项为 B。


(四)火车过桥问题:火车过桥的时候,所走距离为桥长+车长,火车在桥的时候,所走距离为桥长-车长,所用公式为:  ,除非题目明确表述车长忽略不计,否则在过桥问题中都要考虑车长对于结果的影响

【典型例题】

【例 4】某铁路桥长 1000 米,一列火车从桥上通过,测得火车从开始上桥到完全下桥共用 120 秒,整列火车完全在桥上的时间为 80 秒,问火车速度为多少?( )

A、10 米/秒 B、10.7 米/秒

C、12.5 米/秒 D、500 米/分

【解析】

通读题干,出现了“过桥、在桥”,判定为火车过桥问题。第一步,确定车长没有忽略


2025年教师招聘官方微信客服

  • 公告资讯
  • 学习答疑
  • 1对1指导
  • 笔试资料
  • 面试技巧
  • 公开讲座

>微信长按识别左侧二维码,添加

客服老师微信领取

收藏

微信识别下方二维码,即可添加

山香官方微信客服

微信长安识别添加
获取1对 1备考指导服务

历年试题0元下载

6大学科,100套试题
学练结合,查漏补缺

测测你是否适合当老师

学历年龄分析,资格证书分析
报考地分析,历年考情分析

相关推荐

(c)2008-2025 招教网 ©版权所有

中国互联网
协会
经营网站
备案信息
不良信息
备案信息
中国信用
企业认证
网络110
报警服务